Translate

Tìm kiếm Blog này

Covid 24h

Tuesday, August 31, 2021

Công thức tính diện tích hình Elip

Công thức tính diện tích hình Elip là một trong những tri thức toán học căn bản mà các bạn sẽ phải sử dụng trong quá trình học tập và làm việc của mình. Cùng tìm hiểu về cách tính diện tích hình Elip trong bài viết dưới đây để có thể áp dụng khi cần thiết nhé.

Hình Elip là một đường cong phẳng xung quanh hai tiêu điểm, sao cho với mọi điểm trên đường cong, tổng khoảng cách đến hai tiêu điểm là hằng số. Đường tròn là trường hợp đặc biệt của đường elip khi hai tiêu điểm trùng nhau.

Hình Elip

Hình elip có hai trục đối xứng (A1A2; B1B2 trên hình vẽ) vuông góc và cắt nhau tại tâm đối xứng, cắt đường elip tại các trục lớn A1A2 và nhỏ B1B2. Nửa chiều dài của các trục này được gọi lần lượt là bán trục lớn (a) và bán trục nhỏ (b). Khoảng cách từ tâm elip đến mỗi tiêu điểm được gọi là bán tiêu cự (c).

Như vậy ta có:

A1;A2;B1;B2 là các đỉnh của hình elip (E).

2a là độ dài trục lớn A1A2.

2b là độ dài trục nhỏ B1B2.

2c = F1F2 là tiêu cự của (E).

Công thức tính diện tích hình Elip:

S = π.a.b

π là hằng số toán học có giá trị π = 3.14159265359

Do đó, khi biết được độ dài trục lớn và trục nhỏ, bạn dễ dàng tính ra diện tích của hình Elip khi ứng dụng công thức trên.

Hy vọng, qua bài viết trên các bạn sẽ nắm rõ được công thức tính diện tích hình Elip. Các bạn có thể tham khảo thêm loạt bài công thức tính diện tích tam giác , công thức tính chu Bao nhiêu con người đang ngược xuôi trên những con đường trên khắp thế gian, thực hiện những cuộc hành trình trong thế giới vật chất và trong tâm tưởng, có bao nhiêu người thật sự dám sống, dám nếm trải cuộc sống của mình? vi hình tròn , công thức tính diện tích hình thang và một loạt hình khác nhé.

Công thức tính đường cao trong tam giác thường, cân, đều, vuông

Đường cao trong tam giác là một đường thẳng có tính chất quan yếu và liên tưởng rất nhiều đến các bài toán hình học phẳng. Vậy đường cao là gì, cách tính đường cao trong tam giác như thế nào. Cùng tham khảo bài viết dưới đây để có câu đáp và biết công thức tính đường cao trong tam giác đơn giản nhất nhé.

Định nghĩa đường cao trong tam giác

Đường cao trong tam giác là đoạn vuông góc kẻ từ một đỉnh đến cạnh đối diện. Cạnh đối diện này được gọi là đáy ứng với đường cao. Độ dài của đường cao là khoảng cách giữa đỉnh và đáy.

Đường cao trong <a href= Hãy nói một tiếng xin lỗi với bản thân mình, bởi những năm qua đã không học cách yêu lấy mình! tam giác" width="400" height="172" src="https://st.quantrimang.com/photos/image/2021/04/27/duong-cao-trong-tam-giac-1.jpg">

Công thức tính đường cao trong tam giác

Tính đường cao trong tam giác thường

Tính đường cao trong tam giác thường

Cách tính đường cao trong tam giác sử dụng công thức Heron:

Đường cao trong tam giác thường

Với a, b, c là độ dài các cạnh; ha là đường cao được kẻ từ đỉnh A xuống cạnh BC; p là nửa chu vi:

p là nửa chu vi

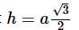
Tính đường cao trong tam giác đều

Tính đường cao trong tam giác đều

giả như tam giác đều ABC có độ dài cạnh bằng a như hình vẽ:

Công thức tính đường cao trong tam giác đều

Trong đó:

  • h là đường cao của tam giác đều
  • a là độ dài cạnh của tam giác đều

Công thức tính đường cao trong tam giác vuông

Tam giác vuông

giả tỉ có tam giác vuông ABC vuông tại A như hình vẽ trên:

Công thức tính cạnh và đường cao trong tam giác vuông:

1. a2=b2+c2

2. b2=a.b′ và c2=a.c′

3. ah = bc

4. h2=b′.c'

5. Công thức tính đường cao trong tam giác vuông

Trong đó:

  • a, b, c lần lượt là các cạnh của tam giác vuông như hình trên;
  • b’ là đường chiếu của cạnh b trên cạnh huyền;
  • c’ là đường chiếu của cạnh c trên cạnh huyền;
  • h là chiều cao của tam giác vuông được kẻ từ đỉnh góc vuông A xuống cạnh huyền BC.

Công thức tính đường cao trong tam giác cân

Tam giác cân

giả thử các bạn có tam giác ABC cân tại A, đường cao AH vuông góc tại H như hình trên:

Công thức tính đường cao AH:

Vì tam giác ABC cân tại A nên đường cao AH đồng thời là đường trung tuyến nên:

⇒ HB=HC= ½BC

ứng dụng định lý Pytago trong tam giác vuông ABH vuông tại H ta có:

AH²+BH²=AB²

⇒AH²=AB²−BH²

Các bạn chỉ cần tính các thành phần chưa biết trong các công thức tính đường cao trong tam giác ở trên là có thể tính được đường cao trong tam giác.

Công thức tính đường chéo hình vuông, đường chéo hình chữ nhật

Đường chéo của hình vuông , hình chữ nhật là đường thẳng nối hai góc đối diện. Mỗi hình vuông, hình chữ nhật có hai đường chéo với độ dài bằng nhau. Dưới đây là cách tính đường chéo hình vuông, cách tính đường chéo hình chữ nhật, mời các bạn tham khảo để áp dụng trong các bài toán.

Cách tính đường chéo hình vuông

Hình vuông là hình tứ giác đều có 4 cạnh bằng nhau.

thuộc tính hình vuông

  • Trong hình vuông 2 đường chéo bằng nhau, vuông góc và giao nhau tại trung điểm của mỗi đường.
  • Có một đường tròn nội tiếp và ngoại tiếp đồng thời tâm của cả hai đường tròn trùng nhau và là giao điểm của hai đường chéo của hình vuông.
  • 1 đường chéo sẽ chia hình vuông thành hai phần có diện tích bằng nhau.
  • Giao của các đường phân giác, trung tuyến, trung trực đều trùng tại một điểm.
  • Có bít tất Tính chất của hình chữ nhật, hình bình hành và hình thoi.

Công thức tính đường chéo của hình vuông

Theo Tính chất hình vuông thì Hãy nói một tiếng xin lỗi với bản thân mình, bởi những năm qua đã không học cách yêu lấy mình! hai đường chéo hình vuông bằng nhau và 1 đường chéo hình vuông sẽ chia hình vuông thành hai phần có diện tích bằng nhau chính là 2 tam giác vuông cân, như vậy đường chéo hình vuông chính là cạnh huyền của 2 tam giác vuông cân đó. Vậy để tính đường chéo hình vuông các bạn chỉ cần ứng dụng định lý Pytago cho tam giác vuông.

giả như các bạn có hình vuông ABCD độ dài cạnh a, đường chéo AC chia hình vuông thành 2 tam giác vuông cân ABC và ACD.

Hình vuông

áp dụng định lý Pytago cho tam giác vuông cân ABC:

Áp dụng định lý Pytago cho tam giác vuông cân ABC

Vậy đường chéo hình vuông có độ dài cạnh a là:

Đường chéo hình vuông có độ dài cạnh a

Cách tính đường chéo hình chữ nhật

Hình chữ nhật là một hình tứ giác lồi có bốn góc vuông, đây là hình bình hành có hai đường chéo bằng nhau.

Tính chất hình chữ nhật

  • Trong hình chữ nhật, hai đường chéo bằng nhau và cắt nhau tại trung điểm của mỗi đường.
  • Có ắt các Tính chất của hình thang cân và hình bình hành.
  • Các đường chéo trong hình chữ nhật cắt nhau tạo thành 4 tam giác cân.

Công thức tính đường chéo hình chữ nhật

Hình chữ nhật có 4 góc đều là các góc vuông, hai đường chéo bằng nhau nên một đường chéo của hình chữ nhật sẽ chia hình chữ nhật thành 2 tam giác vuông và đường chéo hình chữ nhật chính là cạnh huyền, hai cạnh hình chữ nhật chính là 2 cạnh góc vuông. Vậy để tính đường chéo hình chữ nhật các bạn cũng sử dụng định lý Pytago để tính.

giả thử các bạn có hình chữ nhật ABCD có độ dài chiều dài là a và độ dài chiều rộng là b, đường chéo AC như hình vẽ dưới.

Hình chữ nhật

Ta vận dụng định lý Pytago cho tam giác vuông ABC:

Tính đường chéo hình chữ nhật

Vậy đường chéo hình chữ nhật có chiều dài bằng a, chiều rộng bằng b là:

Công thức tính đường chéo hình chữ nhật

Như vậy, chỉ cần vận dụng định lý Pytago là chúng ta có thể tính được đường chéo hình vuông hay hình chữ nhật. Chúc các bạn thành công!

Trọng tâm là gì? Công thức tính trọng tâm của tam giác

trọng điểm là gì, công thức tính trung tâm của tam giác như thế nào? Mời các độc giả bài viết dưới đây để hiểu thêm về trọng điểm tam giác, tri thức rất quan yếu và phổ quát trong những năm học phổ quát nhé.

trọng tâm là gì?

Một tam giác có 3 đường trung tuyến, đoạn thẳng nối từ đỉnh của tam giác đến trung điểm của cạnh đối diện.

trung tâm của tam giác là giao điểm của ba đường trung tuyến.

G là trọng tâm của tam giác ABC.
G là trung tâm của tam giác ABC.

thuộc tính của trọng điểm trong tam giác

Khoảng cách từ trọng điểm của tam giác đến đỉnh bằng 2/3 độ dài đường trung tuyến ứng với đỉnh đó.

Tam giác ABC, với các đường trung tuyến AM, BN, CP và trọng điểm G, ta có:

  • GA = 2 AM
  • GC = 2 GP
  • BG = 2 GN
Tính chất trọng tâm của tam giác

trung tâm tam giác vuông

trọng tâm của tam giác vuông cũng được xác định giống như trung tâm của tam giác thường.

Tam giác MNP vuông tại M.

3 đường trung tuyến MD, NE, PF giao nhau tại trọng tâm O. Ta có MD là trung tuyến của góc vuông PMN nên MD = 1/2 PN = DP = DN.

Trọng tâm tam giác vuông

trung tâm tam giác cân

Tam giác ABC cân tại A, có G là trọng tâm.

Vì tam giác ABC cân tại A nên AG vừa là đường trung tuyến, đường cao và là đường phân giác, từ đó ta suy ra được hệ quả của trọng tâm tam giác cân ABC như sau:

  • Góc BAD bằng góc CAD.
  • Trung tuyến AD vuông góc với cạnh đáy BC.
Trọng tâm tam giác cân

trung tâm của tam giác vuông cân

Có tam giác ABC vuông cân tại A và I là trọng điểm. AM là đường trung trực, đường trung tuyến và đường cao của tam giác này nên AM vuông góc với BC.

Mặt khác, vì tam giác ABC vuông cân tại A nên:

AB = AC.

=> BP = CN và BN = AN = CP = AP.

Trọng tâm tam giác vuông cân

trọng điểm tam giác đều

Tam giác ABC đều, G là giao điểm ba đường trung tuyến, đường cao, đường phân giác.

bởi thế theo thuộc tính của tam giác đều ta có G vừa là trọng tâm, trực tâm, tâm đường tròn ngoại tiếp và nội tiếp của tam giác ABC.

Trọng tâm tam giác đều

Cách tìm trọng điểm tam giác

Cách 1: Giao điểm 3 đường trung tuyến

Xác định trọng tâm tam giác bằng cách lấy giao điểm của ba đường trung tuyến.

Bước 1: Vẽ tam giác ABC, lần lượt xác định trung điểm của các cạnh AB, BC, CA.

Bước 2: Nối lần lượt các đỉnh đến trung điểm của cạnh đối diện. Nối A với G, B với F, C với E.

Bước 3: Giao điểm I của ba đường trung tuyến là AG, BF, CE là trọng điểm của tam giác ABC.

Giao điểm 3 đường trung tuyến

Cách 2: Tỉ lệ trên đường trung tuyến

Xác định trọng tâm tam giác dựa trên tỉ lệ đường trung tuyến.

Bước 1: Vẽ tam giác ABC, xác định trung điểm M của cạnh BC.

Bước 2: Nối đỉnh A với trung điểm M, sau đó lấy điểm S sao cho AS = 2/3 AM.

Theo tính chất trọng điểm tam giác thì điểm S chính là trọng tâm tam giác ABC.

Xác định trọng tâm tam giác dựa trên tỉ lệ đường trung tuyến.

Bài tập về trọng tâm tam giác

Bài 1 : Tam giác ABC có trung tuyến AD = 9cm và trung tâm I. Tính độ dài đoạn AI?

Giải:

Ta có I là trung tâm của tam giác ABC và AD là đường trung tuyến nên AI = (2/3) AD (theo thuộc tính ba đường trung tuyến của tam giác).

Do đó: AG = (2/3).9 = 6 (cm).

Vậy đọan Đừng bao giờ thay đổi mình vì người khác. Nếu họ không thể tiếp nhận một con người nhiều điểm xấu là bạn, thì cũng không xứng để có được một con người với nhiều điểm tốt là bạn. AI có độ dài 6 cm.

Tam giác ABC có trung tuyến AD = 9cm và trọng tâm I

Bài 2:

Cho I là trọng điểm của tam giác đều MNP. Chứng minh rằng: IM = IN = IP.

Giải:

Gọi trung điểm MN, MP, PN lần lượt là R, O, S.

Khi đó MS, PR, NO đồng quy tại trọng điểm I.

Ta có ∆MNP đều, suy ra:

MS = PR = NO (1).

Vì I là trọng điểm của ∆ABC nên theo tính chất đường trung tuyến:

MI = 2/3 MS, PI = 2/3 PR, NI = 2/3 NO (2).

Từ (1) , (2) ⇒ GA = GB = GC.

Ngoài trung tâm, tam giác còn có các tri thức khác như diện tích tam giác , chu vi tam giác , đường cao tam giác , mời các bạn tham khảo.

Wednesday, August 4, 2021

Ai Về Quê Tôi

Ai Về Quê Tôi

  Tác giả  :  Tiến Đạt

  Người đăng  :  administrator , 12 năm trước

Ai đi về phía quê tôi

Làm ơn cho nhắn vài lời nhớ thương

Xa xôi buồn nhớ quê hương

Mẹ già một nắng hai sương mỏi mòn



Ra đi một sáng tinh sương

Me ơi con vẫn nhớ lời me khuyên:

"Con ơi tình nước sâu hơn

Hẹn ngày chiến thắng con về vinh quang"



Con đi mang bao nhiêu tình thương

Con đi mang bao nhiêu niềm nhớ

Me có hay chăng lòng con:

"Nặng tình vì nước non"



Ai đi về phía quê tôi

Làm ơn cho nhắn vài lời nhớ thương

Me ơi! Nợ nước vai mang

Vẹn toàn chí hướng con về quê hương

Có Hề Chi Vàng Một Chút Rong Rêu

Có Hề Chi Vàng Một Chút Rong Rêu

  Tác giả  :  Tôn Nữ Đồng Khánh

  Người đăng  :  administrator , 12 năm trước

[Nhạc: Tôn Nữ Đồng Khánh - Lời: Thơ Phạm Nhuận]



Mưa tắm gội cho đời sông được mới

Gót em đi mùa thoa nhẹ chút hồng

Lòng ta đây cung đàn mùa say tới

Có hề chi vàng một chút rêu rong



Chim cứ hót cho đời chim rộng mãi

Trời bao la dù chút lá cội nguồn

Ta cứ thế mà yêu không ngần ngại

Bởi biết đời chỉ là giọt sương buông



Ta còn yêu như sông kia còn chảy

Thả xuống đời từng giọt rượu long lanh

Như trong sông trăng kia còn để lại

Em ơi, em ơi, những chút vàng phai quá không đành



Hãy cứ cho thêm, hãy còn cho mãi

Mai ta đi nào kịp vẫy tay chào

Hãy cứ như chim quên không buồn mỏi

Đã hót cho đời những tiếng thanh tao



Có hề chi vàng một chút rêu rong

Có hề chi vàng một chút rêu rong.

Thiên đường của anh

Thiên đường của anh

  Tác giả  :  Vũ Quốc Bình

  Người đăng  :  administrator , 11 năm trước

Ngồi đây giữa trời một mình đếm những ánh sao

Mỗi ánh sao mang một kỉ niệm

Ngồi đây nhớ lại chuyện xưa tim em xót xa

Sao bây giờ người ta quá vô tình



Ngày hôm qua yêu nhau mấy núi cũng trèo vì nhau

Ngày hôm nay tình chỉ cân đo giàu sang với nhau

Ngày hôm qua yêu nhau cởi áo cho nhau bên cầu

Ngày hôm nay tình chỉ vui chơi qua đường

Tuesday, August 3, 2021

All That I Need

All That I Need

  Tác giả  :  Boyzone

  Người đăng  :  administrator , 10 năm trước

I was lost and alone

Trying to grow

Making my way down that long winding road

Had no reason or rhyme

Like a song out of time

And there you were standing in front of my eyes



How could i be such a fool

To let go of love and break all the rules?

Girl, when you walked out that door

Left a hole in my heart and now i know for sure



You're the air that i breath

Girl you're all that i need

And i wanna thank you lady

You're the words that i read

You're the light that i see

And your love is all that i need.



Iwas searching in vain

Playing a game

Had no one else but myself left to blame

You came into my world

No diamonds or preals

Could ever replace what you gave to me, girl

Just like a flower needs rain

I will stand by your side

Through the joy and the pain



You're the song that i sing

Girl, you're my everything

And i wanna thank you lady

You're the reason i live

All the joy that you give

And your love is all that i need.

Cây Xăng An Phú

Cây Xăng ở An Phú, An Giang

Danh sách Cây Xăng ở An Phú, An Giang. cửa hàng xăng dầu Trương Vũ 2, Cửa Hàng Xăng Dầu Nhiên Liệu Đại Phát, Doanh Nghiệp Tư Nhân Lợi Hiệp ...

map

cửa hàng xăng dầu Trương Vũ 2

2.31 km. từ An Phú

Quốc lộ 91C, Phước Hưng, An Phú

Cửa Hàng Xăng Dầu Nhiên Liệu Đại Phát

2.60 km. từ An Phú

Đường tỉnh 956, Quốc Thái, An Phú

Doanh Nghiệp Tư Nhân Lợi Hiệp

3.17 km. từ An Phú

An Phú District

Trạm xăng dầu TỶ NHỎ

3.29 km. từ An Phú

Vĩnh Lộc, An Phú

DNTN Xăng Dầu Tư Thưởng

3.81 km. từ An Phú

27, Tỉnh Lộ 956 Xã Quốc Thái TT An Phú Huy, An Phú, Quốc Thái, An Phú

Cửa Hàng Xăng Dầu An Thạnh

3.83 km. từ An Phú

25, Tỉnh Lộ 956 Xã Quốc Thái TT An Phú Huy, An Phú, Quốc Thái, An Phú

Cửa Hàng Xăng Dầu Trương Vũ

3.91 km. từ An Phú

Huy, An Phú, 28 Đường tỉnh 956, TT. An Phú, An Phú

Xăng dầu kim lợi

4.25 km. từ An Phú

An Phú District

DNTN XĂNG DẦU THU VÂN

4.50 km. từ An Phú

ẤP PHÚ NGHĨA, Phú Hôi, An Phú

Cửa hàng xăng dầu Trương Vũ

4.93 km. từ An Phú

Phước Hưng, An Phú

DNTN TRUONG VU

4.94 km. từ An Phú

53 BACH DANG TT AN PHU, Phước Hưng, An Phú

CTY TNHH MTV HÒA BÌNH MỸ DUYÊN

5.46 km. từ An Phú

An Phú District

CÂY XĂNG CAO HÓA

6.14 km. từ An Phú

An Phú District

Cửa Hàng Xăng Dầu Tư Thưởng

6.46 km. từ An Phú

Quốc lộ 91C, TT. An Phú, An Phú

Filling HONG LOI 2

6.85 km. từ An Phú

Đường tỉnh 956, Quốc Thái, An Phú

Vương

8.43 km. từ An Phú

An Phú District

cây xăng hai thinh phat

8.56 km. từ An Phú

ផ្លូវវាងជ្រៃធំ, Long Bình, An Giang, An Phú District

Cửa Hàng Xăng Dầu An Thạnh

8.63 km. từ An Phú

Quốc lộ 91C, TT. An Phú, An Phú

Chi Nhánh 4 Công Ty TNHH Một Thành Viên Xăng Dầu Hồng Hào

9.24 km. từ An Phú

Ấp Tân Thạnh, An Phú

DNTN Thống Nhất

9.33 km. từ An Phú

Tổ 8, Ấp Tân Bình, Thị Trấn Long Bình, An Phú

Cây xăng cao quá

9.81 km. từ An Phú

Unnamed Road

TRẠM XĂNG ĐẶNG HOÀNG HUY

10.31 km. từ An Phú

Đường tỉnh 952, Vĩnh Hoà, Tân Châu

CHXD TÂN AN

10.42 km. từ An Phú

Đường dẫn Cầu Tân An, ấp Tân Hòa C

CÂY XĂNG ĐẶNG HOÀNG HUY

12.35 km. từ An Phú

133, Đường tỉnh 952, Tân Thạnh, An Phú

Sữa xe tiến

12.63 km. từ An Phú

Thường Phước 1, Hồng Ngự District

CÂY XĂNG ĐẶNG THÀNH HUY

12.99 km. từ An Phú

TL 952

PETROLIMEX-CỬA HÀNG 39 (TÂN AN)

13.21 km. từ An Phú

Tân Châu

Đại Lý xăng dầu DNTN Văn Tâm

13.26 km. từ An Phú

ấp 2, Đường tỉnh 841, Thường Phước 1, Hồng Ngự

Stores Petroleum Le Hieu Tran

14.40 km. từ An Phú

Ấp Long Hiệp, Long An, An Phú

Cây xăng Út Nê

14.85 km. từ An Phú

Unnamed Road, Tân Châu

Cây Xăng Thiện Tính

15.06 km. từ An Phú

Long An, Tân Châu

Cửa Hàng Xăng Dầu Phú An

15.81 km. từ An Phú

Quốc lộ 91C, Đa Phước, An Phú

Đại lý bán lẻ Xăng dầu DNTN Sang Muối

16.34 km. từ An Phú

Đường tỉnh 953, Lê Chánh, An Phú

Cửa hàng Xăng dầu Sang Muối

16.36 km. từ An Phú

Đường tỉnh 953, Phú Vĩnh, An Phú

Tela Gasoline Station

16.36 km. từ An Phú

129B

Cây xăng Thuận Thành

16.43 km. từ An Phú

Cầu Vườn Hồng, Unnamed Road, Tân Châu

PETROLIMEX-CỬA HÀNG 41 (LÊ CHÁNH)

16.70 km. từ An Phú

Đường tỉnh 953, An Phú

Cửa hàng Xăng dầu Trương Phát Thịnh

16.71 km. từ An Phú

Đường tỉnh 953, Châu Phong, An Phú

Cửa hàng Xăng dầu Huỳnh Văn Sang

16.77 km. từ An Phú

Đường tỉnh 953, Long Phú, An Phú

Cửa hàng Xăng dầu Chi nhánh DNTN Trương Dung

16.87 km. từ An Phú

Đường tỉnh 953, Lê Chánh, Tân Châu

Cây xăng Lê Tấn Thành

17.02 km. từ An Phú

Unnamed Road, Long Phú, Tân Châu

Trạm xăng dầu Trương Dung

17.02 km. từ An Phú

Khóm Long Hưng, TT. Tân Châu, Tân Châu

Dntn Xăng Dầu Trương Dung

17.03 km. từ An Phú

233 Trần Phú, Thị xã Tân Châu

Tela Try Mouy Orng

17.29 km. từ An Phú

ភូមិស្វាយជួរ

ស្ថានីយ៍ប្រេងឥន្ធនៈ ខ្មែរ អភិវឌ្ឍន៍

17.35 km. từ An Phú

129D, កោះអណ្ដែត

Cây xăng Văn Lang

17.50 km. từ An Phú

An Giang Province

Cây xăng Saigon Petro Lý Quỳ 1

17.60 km. từ An Phú

Đường tỉnh 953, TT. Tân Châu, Tân Châu

Chi Nhánh DNTN Xăng Dầu Lý Qùy 1

17.65 km. từ An Phú

298 Đường Nguyễn Tri Phương, TT. Tân Châu, Tân Châu

Trạm đổi PIN XMĐ Vinfast

17.85 km. từ An Phú

111 Nguyễn Văn Thoại, Street, Châu Đốc

Cửa hàng Xăng dầu Hồng Thanh Hải

17.85 km. từ An Phú

Phà Châu Giang, 236a duong man thien quan 9 TPHCM

Thành phố gần An Phú

15 ngôn ngữ lập trình phổ biến nhất thế giới hiện nay

Thế giới ngôn ngữ lập trình vô cùng phong phú, bạn đang tìm hiểu về nó và chưa biết bắt đầu từ đâu, vậy thì hãy thử xem 15 tiếng nói...

Tin Thời Tiết - Tỷ Giá

Popular Posts

Trang

Bài đăng phổ biến

Wikipedia

Search results